التخزين الكيميائي الحراري في الإنشاءات الجديدة: التخزين الموسمي للطاقة الشمسية باستخدام بروميد الاسترونشيوم في أساسات المباني (مفهوم أنظمة خدمات المباني TGA لعام 2026)
التخزين الكيميائي الحراري في الإنشاءات الجديدة 2026: مفهوم مبتكر لأنظمة خدمات المباني (TGA) للتخزين الموسمي باستخدام بروميد الاسترونشيوم
Ing. Homam Alhelwani
3/4/20262 دقيقة قراءة


مقدمة: مشكلة التخزين الموسمي في قطاع المباني:
يمثل التفاوت الموسمي بين فائض الطاقة الشمسية في الصيف وحاجة التدفئة في الشتاء أحد أكبر التحديات في هندسة تجهيزات المباني.
تفقد أنظمة التخزين الحراري المحسوسة، مثل خزانات الماء الساخن، الطاقة بشكل مستمر على مدار أسابيع أو أشهر، بينما تقوم أنظمة التخزين الحراري الكيميائي بربط الطاقة كيميائياً ويمكنها توفير الحرارة موسمياً دون فقدان تقريباً [1][2].
مبدأ عمل أنظمة التخزين الحراري الكيميائي:
تعتمد أنظمة التخزين الحراري الكيميائي على تفاعلات الإماهة العكسية:
عملية الشحن (الصيف – نزع الماء):
يتم نزع الماء من الملح المُميّه باستخدام الحرارة الشمسية، وتُخزن الطاقة في شكل كيميائي.
عملية التفريغ (الشتاء – الإماهة):
من خلال إدخال بخار الماء، يتفاعل الملح طارداً للحرارة ويطلق الطاقة الحرارية.
لا يوجد عملياً أي تفريغ ذاتي حراري خلال فترة التخزين [2].
اختيار المواد: بروميد الاسترونشيوم (SrBr₂·6H₂O):
يُعد SrBr₂·6H₂O مرشحاً مناسباً لمجمعات الطاقة الشمسية الحرارية التي تعمل بدرجات حرارة تتراوح بين 90 و 120 درجة مئوية:
نزع الماء عند 80–120 درجة مئوية
كثافة طاقة نظرية عالية (~1.000 كيلوواط ساعي/متر مكعب)
قابلية العكس عند التوجيه المناسب للمفاعل
ومع ذلك، فإن قيم النظام العملية تكون أقل من القيم المخبرية، حيث تؤثر المسامية وهندسة المبادل الحراري على الحجم الفعال [3].
كفاءة النظام واسترداد الحرارة:
يحتوي تكثف بخار الماء الناتج أثناء التجفيف على كميات كبيرة من الطاقة، وإذا لم يتم استرداد هذه الحرارة، تنخفض كفاءة النظام بشكل ملحوظ.
من خلال:
استرداد إنثالبي التكثف
التسخين المسبق لناقل الحرارة
الدمج في الأساسات أو الغرف التقنية
يمكن تحقيق كفاءة تبلغ حوالي 70–75% [1].
التعارض الثرموديناميكي: الحرارة مقابل الكفاءة:
يعتبر اختيار الملح بمثابة حل وسط:
الدمج مع تجهيزات المباني التقنية (MEP Integration):
الدمج في مناطق الأساسات، الغرف التقنية، أو الأقبية
تقليل فقدان المساحات إلى الحد الأدنى
الدمج مع أنظمة التدفئة الأرضية (Underfloor Heating) عند درجة حرارة 35–40 درجة مئوية
ملاحظة: بالنسبة لدرجات الحرارة التي تتجاوز 100 درجة مئوية، تعتبر المجمعات المسطحة (Flat Plate Collectors) غير فعالة، بينما تتيح المجمعات الأنبوبية (Evacuated Tube Collectors) تحقيق درجات حرارة عالية بكفاءة مقبولة.
مثال حسابي لنظام التخزين الحراري الكيميائي:
المبنى: 1.000 متر مربع مساحة الأساس، 4.000 متر مربع مساحة مدفأة
مساحة المجمعات الشمسية: 700 متر مربع
احتياج التدفئة: 160.000 كيلوواط ساعي
التخزين الصيفي:
الإشعاع الشمسي: 600 كيلوواط ساعي/متر مربع
كفاءة المجمعات الأنبوبية عند 90 درجة مئوية ~ 43% ← 700 متر مربع × 600 × 0,43 ≈ 180.600 كيلوواط ساعي
مع استرداد الحرارة (كفاءة النظام ~ 75%) ← 135.450 كيلوواط ساعي قابلة للتخزين
الاستخدام المباشر الشتوي:
الإشعاع الشمسي: 300 كيلوواط ساعي/متر مربع
الكفاءة عند 35 درجة مئوية ~ 60% ← 700 × 300 × 0,6 ≈ 126.000 كيلوواط ساعي
الإجمالي: ~ 261.450 كيلوواط ساعي متاحة، وهي كافية لتغطية احتياج التدفئة البالغ 160.000 كيلوواط ساعي، حتى في فصول الشتاء القاسية.
التحديات التقنية:
استقرار دورات الملح (Cycle Stability)
إدارة التآكل (Corrosion Management)
توزيع البخار داخل المفاعل (Steam Distribution)
الجدوى الاقتصادية (يورو/كيلوواط ساعي سعة تخزينية)
السلوك والاعتمادية على المدى الطويل (Long-term Behavior)
البرامج البحثية: برنامج وكالة الطاقة الدولية للتبريد والتدفئة بالطاقة الشمسية (IEA SHC) - المهمة 58؛ معهد فراونهوفر (Fraunhofer ISE) (أبحاث عامة في مجال تخزين الطاقة الحرارية)
المصادر:
[1] IEA Solar Heating and Cooling Programme – Task 58 Final Report
[2] N'Tsoukpoe et al., Renewable and Sustainable Energy Reviews, 2009
[3] Kur et al., Energies, 2023


تأثير درجة حرارة المُجَمِّع على الكفاءة:
تفقد المجمعات الشمسية الحرارية كفاءتها كلما ارتفعت درجة حرارة التشغيل المتوسطة لناقل الحرارة Tm مقارنة بالهواء المحيط Ta.
فيزيائياً، يزداد الفقد الحراري عن طريق الحمل الحراري والإشعاع مع زيادة فرق درجات الحرارة.
يتم وصف هذه العلاقة من خلال المعادلة التقريبية التالية:
الرموز:
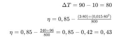
مثال حسابي للمجمعات الأنبوبية (90–120 درجة مئوية):
الافتراضات (المجمعات الأنبوبية):
الكفاءة ≈ %21
السلبية
الميزة
المادة
تجديد منخفض (جل السيليكا
درجة حرارة تجديد أعلى (SrBr₂)
كفاءة أعلى للمجمع
درجة حرارة تفريغ أعلى
درجة حرارة تفريغ منخفضة (أقل من 35–40 درجة مئوية)
تنخفض كفاءة المجمعات عند درجات الحرارة المرتفعة












تواصل معنا
المهندس همام الحلواني
ايميل: info@hme-alhelwani.de
الجوال:+49 15753239933
© 2026 كل الحقوق محفوظة للمهندس همام الحلواني
Hubertusstraße. 12-14
52064 Aachen
Germany
