حاسبة السرعة النوعية Ns
السرعة النوعية (ns) هي معيار أساسي في تكنولوجيا المضخات.
وتُستخدم لمقارنة عجلات الريش ذات الأحجام المختلفة تحت ظروف تشغيل متشابهة، ولتحديد التصميم الأمثل (شعاعي، قطري، أو محوري).
تصميم وتوصيف أشكال عجلة الريش (Impeller Shapes):
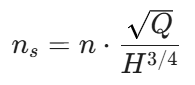
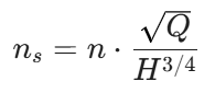
أساس الحساب (المعادلة):
يتم إجراء الحسابات وفقاً للمعادلة المعمول بها دولياً (بنظام الوحدات الدولي SI):


تعريف المتغيرات (Variable Definitions):
n (سرعة الدوران): سرعة تشغيل المضخة (دورة في الدقيقة - r.p.m).
Q (معدل التدفق): التدفق الحجمي عند نقطة الكفاءة القصوى (BEP) بوحدة [متر مكعب/ثانية].
H (ارتفاع الرفع الهيدروليكي): ارتفاع الرفع المتولد لكل مرحلة بوحدة [متر].
تواصل معنا
المهندس همام الحلواني
ايميل: info@hme-alhelwani.de
الجوال:+49 15753239933
© 2026 كل الحقوق محفوظة للمهندس همام الحلواني
Hubertusstraße. 12-14
52064 Aachen
Germany
