Thermochemische Wärmespeicherung im Neubau: Saisonale Solarenergie mit Strontiumbromid im Gebäudefundament (TGA-Konzept 2026)
Thermochemische Wärmespeicherung im Neubau 2026 Innovatives TGA-Konzept zur saisonalen Speicherung mit Strontiumbromid... www.dein-website.de/technik-blog/thermochemische-speicher
Ing. Homam Alhelwani
3/4/20263 min lesen


Einleitung: Das saisonale Speicherproblem im Gebäudesektor:
Die saisonale Verschiebung zwischen sommerlichem Solarenergieüberschuss und winterlichem Heizbedarf stellt eine der größten Herausforderungen in der Gebäudetechnik dar.
Sensible Wärmespeicher, wie Warmwasserbehälter, verlieren über Wochen oder Monate kontinuierlich Energie. Thermochemische Speicher hingegen binden Energie chemisch und können saisonal praktisch verlustfrei Wärme bereitstellen [1][2].
Funktionsprinzip thermochemischer Speicher:
Thermochemische Speicher basieren auf reversiblen Hydratationsreaktionen:
Ladevorgang (Sommer – Dehydratisierung):
Ein hydratisiertes Salz wird durch Solarwärme entwässert. Die Energie wird in chemischer Form gespeichert.Entladevorgang (Winter – Hydratisierung):
Durch Zuführung von Wasserdampf reagiert das Salz exotherm und setzt Wärme frei.
Ohne Wärmerückgewinnung während der Lagerphase gibt es praktisch keine thermische Selbstentladung [2].
Materialwahl: Strontiumbromid (SrBr₂·6H₂O):
Für Solarthermiekollektoren mit 90–120 °C ist SrBr₂·6H₂O ein geeigneter Kandidat:
Dehydratisierung bei 80–120 °C
Hohe theoretische Energiedichte (~1.000 kWh/m³)
Reversibel bei geeigneter Reaktorführung
Praktische Systemwerte liegen jedoch unter Laborwerten, da Porosität und Wärmeübertragergeometrie das effektive Volumen beeinflussen [3].
Systemwirkungsgrad und Wärmerückgewinnung:
Die Kondensation des beim Trocknen entstehenden Wasserdampfs enthält große Energiemengen. Wird diese Wärme nicht zurückgeführt, sinkt der Systemwirkungsgrad deutlich.
Durch:
Rückgewinnung der Kondensationsenthalpie
Vorwärmung des Wärmeträgers
Integration in das Fundament oder Technikräume
kann ein Wirkungsgrad von ca. 70–75 % realisiert werden [1].
Thermodynamischer Zielkonflikt: Temperatur vs. Effizienz:
Die Wahl des Salzes ist ein Kompromiss:
Gebäudetechnische Integration:
Integration in Fundamentzonen, Technikräume oder Keller
Minimierung von Flächenverlust
Kombination mit Fußbodenheizung bei 35–40 °C
Hinweis: Für Temperaturen >100 °C sind Flachkollektoren ineffizient. Röhrenkollektoren ermöglichen hohe Temperaturen mit akzeptabler Effizienz.
Beispielrechnung thermochemischer Speicher:
Gebäude: 1.000 m² Grundfläche, 4.000 m² beheizte Fläche
Solarfläche: 700 m²
Heizbedarf: 160.000 kWh
Sommerliche Speicherung:
Einstrahlung 600 kWh/m²
Effizienz Röhrenkollektoren bei 90 °C ~43 % → 700 m² × 600 × 0,43 ≈ 180.600 kWh
Mit Wärmerückgewinnung (~75 % Systemwirkungsgrad) → 135.450 kWh speicherbar
Winterliche Direktnutzung:
Einstrahlung 300 kWh/m²
Effizienz bei 35 °C ~60 % → 700 × 300 × 0,6 ≈ 126.000 kWh
Gesamt: ~261.450 kWh verfügbar, ausreichend für Heizbedarf 160.000 kWh, selbst bei strengen Wintern.
Technische Herausforderungen:
Zyklenstabilität des Salzes
Korrosionsmanagement
Dampfverteilung im Reaktor
Wirtschaftlichkeit (€/kWh Speicher)
Langzeitverhalten
Forschungsprogramme: IEA Solar Heating and Cooling Programme – Task 58; Fraunhofer ISE (Allgemeine Forschung im Bereich thermische Energiespeicherung)
Quellen
[1] IEA Solar Heating and Cooling Programme – Task 58 Final Report
[2] N'Tsoukpoe et al., Renewable and Sustainable Energy Reviews, 2009
[3] Kur et al., Energies, 2023


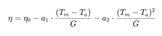
Einfluss der Kollektortemperatur auf den Wirkungsgrad:
Solarthermische Kollektoren verlieren an Effizienz, je höher die mittlere Arbeitstemperatur des Wärmeträgers Tm im Vergleich zur Umgebungsluft Ta ist. Physikalisch steigt der thermische Verlust durch Konvektion und Strahlung, wenn die Temperaturdifferenz zunimmt.
Die Abhängigkeit wird durch folgende Näherungsformel beschrieben:
Symbole:
Beispielrechnung für Röhrenkollektoren (90–120 °C):
Annahmen (Röhrenkollektoren):
Fall 1: Tm=90 °CTm = 90 °CTm=90 °C
→ Wirkungsgrad ≈ 43 %
Fall 2: Tm=120 °CTm = 120 °CTm=120 °C
→ Wirkungsgrad ≈ 21 %
Material
Vorteil
Nachteil
Niedrige Regeneration (Silikagel)
Höhere Regeneration (SrBr₂)
Höherer Kollektorwirkungsgrad
Höhere Entladetemperatur
Geringe Abgabetemperatur (<35–40 °C)
Effizienz der Kollektoren bei hohen Temperaturen sinkt






Kontakt
Ing. Homam Alhelwani
Email: info@hme-alhelwani.de
Mobile: +49 15753239933
© 2026 Ing. Homam Alhelwani. Alle Rechte vorbehalten
Hubertusstraße. 12-14
52064 Aachen
