Thermochemical Heat Storage in New Construction: Seasonal Solar Energy with Strontium Bromide in the Building Foundation (MEP Concept 2026)
Thermochemical Heat Storage in New Construction 2026 Innovative HVAC concept for seasonal storage with strontium bromide...
Eng. Homam Alhelwani
3/4/20263 min read


Introduction: The seasonal storage problem in the building sector:
The seasonal shift between the summer solar energy surplus and the winter heating demand represents one of the major challenges in building services engineering (MEP). Sensible heat storage systems, such as hot water tanks, continuously lose energy over weeks or months. Thermochemical storage systems, on the other hand, bind energy chemically and can provide heat seasonally with virtually no loss [1][2].
Operating principle of thermochemical storage:
Thermochemical storage systems are based on reversible hydration reactions:
Charging process (Summer – Dehydration): A hydrated salt is dehydrated using solar heat. The energy is stored in chemical form.
Discharging process (Winter – Hydration): By introducing water vapor, the salt reacts exothermically and releases heat.
There is practically no thermal self-discharge during the storage phase [2].
Material selection: Strontium bromide (SrBr₂·6H₂O):
For solar thermal collectors operating at 90–120 °C, SrBr₂·6H₂O is a suitable candidate:
Dehydration at 80–120 °C.
High theoretical energy density (~1,000 kWh/m³).
Reversible with appropriate reactor design.
However, practical system values fall below laboratory values, as porosity and heat exchanger geometry affect the effective volume [3].
System efficiency and heat recovery:
The condensation of the water vapor generated during drying contains large amounts of energy. If this heat is not recovered, the system efficiency drops significantly.
Through:
Recovery of the enthalpy of condensation,
Preheating of the heat transfer fluid,
Integration into the foundation or mechanical equipment rooms,
an efficiency of approx. 70–75% can be achieved [1].
Thermodynamic trade-off: Temperature vs. Efficiency:
The choice of salt is a compromise:
Building Services Integration (MEP Integration):
Integration into foundation zones, mechanical rooms, or basements.
Minimization of floor space loss.
Combination with underfloor heating at 35–40 °C.
Note: Flat-plate collectors are inefficient for temperatures >100 °C. Evacuated tube collectors enable high temperatures with acceptable efficiency.
Sample Calculation for Thermochemical Storage:
Building: 1,000 m² footprint, 4,000 m² heated area.
Solar Area: 700 m².
Heating Demand: 160,000 kWh.
Summer Storage:
Irradiance: 600 kWh/m².
Efficiency of evacuated tube collectors at 90 °C ≈ 43% → 700 m² × 600 × 0.43 ≈ 180,600 kWh.
With heat recovery (~75% system efficiency) → 135,450 kWh storable.
Winter Direct Use:
Irradiance: 300 kWh/m².
Efficiency at 35 °C ≈ 60% → 700 × 300 × 0.6 ≈ 126,000 kWh.
Total: ~261,450 kWh available, sufficient for a heating demand of 160,000 kWh, even during severe winters.
Technical Challenges:
Cycle stability of the salt.
Corrosion management.
Vapor distribution within the reactor.
Economic viability (€/kWh of storage).
Long-term behavior.
Research Programs: IEA Solar Heating and Cooling Programme – Task 58; Fraunhofer ISE (General research in the field of thermal energy storage).
References:
[1] IEA Solar Heating and Cooling Programme – Task 58 Final Report.
[2] N'Tsoukpoe et al., Renewable and Sustainable Energy Reviews, 2009.
[3] Kur et al., Energies, 2023.


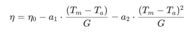
Influence of Collector Temperature on Efficiency:
Solar thermal collectors lose efficiency the higher the mean operating temperature of the heat transfer fluid (Tm) is compared to the ambient air (Ta). Physically, thermal loss through convection and radiation increases as the temperature difference increases.The dependence is described by the following approximation formula:
Example calculation for evacuated tube collectors (90–120 °C):
Assumptions (evacuated tube collectors):
Materials
Advantage
Disadvantage
Low Regeneration (Silica Gel)
Higher Regeneration (SrBr₂)
Higher Collector Efficiency
Higher Discharge Temperature
Low Discharge Temperature (<35–40 °C)
Collector efficiency decreases at high temperatures






Contact
Eng. Homam Alhelwani
Email: info@hme-alhelwani.de
Mobile: +49 15753239933
© 2026 Eng. Homam Alhelwani. All rights reserved.
Hubertusstraße. 12-14
52064 Aachen
Germany
